正定値行列 精質

正定値行列の逆行列 機械学習に詳しくなりたいブログ

正定値行列の逆行列 機械学習に詳しくなりたいブログ

半正定値計画問題に対する 行列補完理論の高速実装 ppt download

半正定値計画問題に対する 行列補完理論の高速実装 ppt download

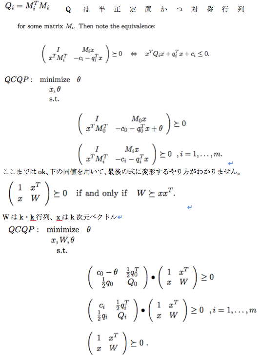
el text tokuron a 2019 yamamoto190620

el text tokuron a 2019 yamamoto190620

prml復々習レーン 10 補講 正定値カーネルでないと困ること

prml復々習レーン 10 補講 正定値カーネルでないと困ること

行列式

行列式

機械学習を学ぶための準備 その5 行列のいろいろ nhn テコラス tech blog aws 機械学習 iotなどの技術ブログ

機械学習を学ぶための準備 その5 行列のいろいろ nhn テコラス tech blog aws 機械学習 iotなどの技術ブログ

半正定値行列とは 公式と性質 証明付 理数アラカルト

半正定値行列とは 公式と性質 証明付 理数アラカルト

機械学習を学ぶための準備 その5 行列のいろいろ nhn テコラス tech blog aws 機械学習 iotなどの技術ブログ

機械学習を学ぶための準備 その5 行列のいろいろ nhn テコラス tech blog aws 機械学習 iotなどの技術ブログ

信号処理のための線形代数入門 特異値解析から機械学習への応用まで 関原 謙介 著 共立出版

信号処理のための線形代数入門 特異値解析から機械学習への応用まで 関原 謙介 著 共立出版

el text tokuron a 2019 yamamoto190620

el text tokuron a 2019 yamamoto190620

機械学習を学ぶための準備 その5 行列のいろいろ nhn テコラス tech blog aws 機械学習 iotなどの技術ブログ

機械学習を学ぶための準備 その5 行列のいろいろ nhn テコラス tech blog aws 機械学習 iotなどの技術ブログ

半正定値行列とは 公式と性質 証明付 理数アラカルト

半正定値行列とは 公式と性質 証明付 理数アラカルト

https detail chiebukuro yahoo co jp qa question detail q13158384898

https detail chiebukuro yahoo co jp qa question detail q13158384898

正定 値 行列

正定 値 行列

我楽多頓陳館

我楽多頓陳館

書評 統計のための行列代数 hippocampus s garden

書評 統計のための行列代数 hippocampus s garden

正定 値 対称 行列 article

正定 値 対称 行列 article

半正定値行列とは 公式と性質 証明付 理数アラカルト

半正定値行列とは 公式と性質 証明付 理数アラカルト

twitter

twitter

非対称行列の固有値と正定値性について 画像にあるように 非対称な行 数学 教えて goo

非対称行列の固有値と正定値性について 画像にあるように 非対称な行 数学 教えて goo

半正定値行列に関する証明を教えていただきたいです 難しい手法などはなる yahoo 知恵袋

半正定値行列に関する証明を教えていただきたいです 難しい手法などはなる yahoo 知恵袋

正定 値 対称 行列 article

正定 値 対称 行列 article

正定値行列の和 機械学習に詳しくなりたいブログ

正定値行列の和 機械学習に詳しくなりたいブログ

機械学習を学ぶための準備 その5 行列のいろいろ nhn テコラス tech blog aws 機械学習 iotなどの技術ブログ

機械学習を学ぶための準備 その5 行列のいろいろ nhn テコラス tech blog aws 機械学習 iotなどの技術ブログ

数学の質問です aを正定値行列 bを負定値行列とします このと yahoo 知恵袋

数学の質問です aを正定値行列 bを負定値行列とします このと yahoo 知恵袋

You May Like
hits counter